当前位置:街镇 > 昌州街道 > 政务公开 > 政府信息公开目录 > 养老服务 > 老年人补贴
  • [ 索号 ]
  • 11500226666436708G/2025-00142
  • [ 发文字号 ]
  • [ 主题分类 ]
  • 社会救助;社会福利
  • [ 体裁分类 ]
  • 其他
  • [ 成文日期 ]
  • 2025-10-13
  • [ 发布日期 ]
  • 2025-10-13
  • [ 发布机构 ]
  • 荣昌区昌州街道
  • [ 有性 ]
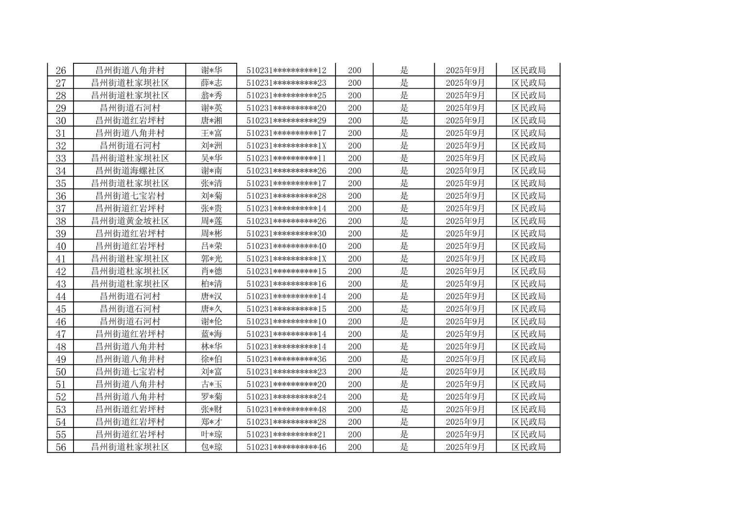
荣昌区昌州街道2025年9月经济困难高龄失能老人养老服务补贴资金兑付到人到户明细公示表
日期:2025-10-13
字体:【 默认 超大
分享:


版权所有:重庆市荣昌区人民政府

主办单位:重庆市荣昌区人民政府办公室

承办单位:重庆市荣昌区数字化城市运行和治理中心

微信公众号

政务微博

ICP备案:渝ICP备2021006398号-1 网站标识码:5002260001 渝公网安备:50022602000107号
提示 智能机器人形象
智能机器人形象
智能问答 政务服务 政策解读 政策问答 便民地图